Modelling of two phase flow in packed bed using conservation equations

Click For Summary

Discussion Overview

The discussion revolves around the modeling of two-phase flow in a packed bed using conservation equations, specifically focusing on the derivation of mass, momentum, and energy equations that account for phase changes in the fluid. Participants explore the complexities involved in simulating this system, including the need to track temperature and phase fronts over time.

Discussion Character

  • Exploratory
  • Technical explanation
  • Conceptual clarification
  • Debate/contested
  • Mathematical reasoning

Main Points Raised

  • One participant seeks to derive mass, momentum, and energy equations for two-phase flow, noting that existing equations for single-phase flow are insufficient.
  • Another participant suggests starting with simpler models to understand the system before increasing complexity, emphasizing the importance of preliminary calculations.
  • Participants discuss the need to consider system parameters such as diameter, packing type, void fraction, and flow direction in the modeling process.
  • There is a proposal to model isothermal behavior under different conditions (all liquid vs. all gas) to understand residence time and pressure variations.
  • One participant acknowledges the need to account for pressure drop and residence time in their models, questioning how to calculate these factors effectively.
  • Discussion includes the concept of lumped parameter models, with questions about how temperature and other properties behave under high axial dispersion conditions.
  • Participants express intentions to formulate simplified models and share their approaches to the conservation equations.

Areas of Agreement / Disagreement

Participants generally agree on the need to start with simpler models before tackling the complexities of two-phase flow. However, there are multiple competing views on the best approach to modeling and the specific parameters to consider, leaving the discussion unresolved.

Contextual Notes

Participants mention various assumptions and conditions, such as the static nature of the packed bed and the potential significance of pressure drop, which may affect the modeling outcomes. The discussion also highlights the need for further exploration of lumped parameter models and their implications.

Who May Find This Useful

This discussion may be useful for researchers and practitioners interested in fluid dynamics, thermal management in packed beds, and the modeling of phase changes in porous media.

  • #361
casualguitar said:
Hmm to confirm - drho/dT is found by (1/V)*dm/dt and we get dH/dt values from the energy balance. Then d(rho)/dH = d(rho)/dt * dt/dH
No. To get ##\frac{dm_j}{dt}=\frac{V}{n}\frac{d\rho_j}{dt}##, we write $$\frac{d\rho_j}{dt}=\left(\frac{\partial \rho}{\partial h}\right)_{j,P}\frac{dh_j}{dt}$$and $$\frac{\partial \rho}{\partial h}=\frac{\frac{\partial \rho}{\partial T}}{\frac{\partial h}{\partial T}}$$with the latter obtained strictly from the thermodynamics.
casualguitar said:
Side note: I didn't find anything useful in the R.E. Collins text in relation to heat transfer coefficient correlations.
The Collins book has information on immiscible flow through porous media, and relative permeabilities, which provide a better estimate of the pressure gradient in the 2 phase region.
casualguitar said:
That said, its fairly advanced in parts so maybe I missed it. I did find this text that gives correlations for both the thermal conductivity and the fluid-solid heat transfer coefficients: https://www.sciencedirect.com/science/article/pii/001793109090255S

I think that was actually a reason why other papers split up the U heat transfer coefficient, because there are correlations available for k and h

I'll put a shape on what that paper is saying in relation to heat transfer coefficients and see If its of any use

If it is, if possible I would like to talk with you about extracting conduction and convection terms out of U
In my judgment, you should consider the conduction as just lumped in with the convection, since, in the end this is all going to involve calibration with respect to the convection dispersivity (grid spacing).
 
Engineering news on Phys.org
  • #362
Chestermiller said:
No. To get dmjdt=Vndρjdt, we write dρjdt=(∂ρ∂h)j,Pdhjdtand ∂ρ∂h=∂ρ∂T∂h∂Twith the latter obtained strictly from the thermodynamics.
Ah I follow now. Great. This is now implemented in the model also. The temperature derivatives are available in the thermo library so I used those. So now we have analytic solutions for all of d(rho)/dH, T(H.P) and rho(H,P), meaning that there are no hand derived correlations in use
Chestermiller said:
The Collins book has information on immiscible flow through porous media, and relative permeabilities, which provide a better estimate of the pressure gradient in the 2 phase region.
Interesting, I see those sections. Actually right now pressure is not varying across the bed in the model. To implement that I guess I'd have the Ergun equation for the gas and liquid phases, and sum the pressure drops across each. I hadn't considered the two-phase zone as its so small. I will look into modelling the two-phase pressure drop via the Collins relative permeability approach

Chestermiller said:
In my judgment, you should consider the conduction as just lumped in with the convection, since, in the end this is all going to involve calibration with respect to the convection dispersivity (grid spacing).
Next most important job on my end is to get a ballpark range for the U value. I understand what you mean about lumping convection and conduction, however getting correlations for a lumped term has proved difficult. I did not actually find any. There are a few options for non-lumped models though where conduction and convection are separate. Do you think it is reasonable to use the non-lumped model on the basis that there are obvious correlations available? Have you seen correlations for lumped conduction and convection?

Chestermiller said:
since, in the end this is all going to involve calibration with respect to the convection dispersivity (grid spacing).
Not sure what convection dispersivity is. I'll take note of it and we can return to it when the time comes
 
  • #363
casualguitar said:
Just as a side note - I have found a few papers that talk about Nusselt number correlations. This is obviously closely related to the actual U value, so if there was a way to convert Nusselt number to U value then we could use that approach. The only equation that comes to mind is ##Nu = \frac{hL}{k}## however again this is in effect splitting the U value into conduction and convection it seems
Final update on this - I just found a paper that does lump convection and conduction for two phase flow, and it seems to do it in a way that would slot nicely into our model. Here is the section on lumping h and k:

Screenshot 2022-02-01 at 15.44.39.png

Screenshot 2022-02-01 at 15.44.59.png


Does this look suitable to you? If it is then I can code this, it looks straightforward

Link to paper if you're interested (actually a very nice paper): https://aiche.onlinelibrary.wiley.com/doi/abs/10.1002/aic.690250413

Also as a note, the Prandtl and Reynolds number will not be constant, meaning that U (or h in this model) will not be constant across the system
 
Last edited:
  • #364
casualguitar said:
Final update on this - I just found a paper that does lump convection and conduction for two phase flow, and it seems to do it in a way that would slot nicely into our model. Here is the section on lumping h and k:

View attachment 296361
View attachment 296362

Does this look suitable to you? If it is then I can code this, it looks straightforward

Link to paper if you're interested (actually a very nice paper): https://aiche.onlinelibrary.wiley.com/doi/abs/10.1002/aic.690250413

Also as a note, the Prandtl and Reynolds number will not be constant, meaning that U (or h in this model) will not be constant across the system
Yes. This is what I had in mind. That reference looks a little old, so maybe you can find some more recent work that could be even more accurate.
 
  • #366
Chestermiller said:
Yes. This is what I had in mind. That reference looks a little old, so maybe you can find some more recent work that could be even more accurate.
I think I can. That paper actually has 400+ references so its fairly well cited. Google scholar allows viewing of all papers that referenced that one, so I guess at least one of the more modern ones will use a similar lumped approach

Chestermiller said:
Ah very interesting, there's really fairly endless things that could be implemented in the model. Its difficult to draw a line in what is useful and what isnt.

Actually section 12.5 here 'Moving evaporation of condensation front' looks particularly useful. I guess this is the section you were pointing towards? The only issue with these is that they use different model equations to the ones we have, so its rarely directly applicable in our model I would guess
Chestermiller said:
Also see section 14.5 Heat transfer coefficients for Forced Convection Through Packed beds, Transport Phenomena, Bird et al.
I can compare the output from this approach to the lumped parameter model I found in that old paper

Looks like I have some heat transfer coefficient model implementation work to do
 
  • #367
casualguitar said:
I think I can. That paper actually has 400+ references so its fairly well cited. Google scholar allows viewing of all papers that referenced that one, so I guess at least one of the more modern ones will use a similar lumped approachAh very interesting, there's really fairly endless things that could be implemented in the model. Its difficult to draw a line in what is useful and what isnt.

Actually section 12.5 here 'Moving evaporation of condensation front' looks particularly useful. I guess this is the section you were pointing towards?
Not really. I never saw the entire book. I was focused on the possible correlations for convective heat transfer.
casualguitar said:
The only issue with these is that they use different model equations to the ones we have, so its rarely directly applicable in our model I would guess

I can compare the output from this approach to the lumped parameter model I found in that old paper
Not in the bed model. I strongly recommend making the comparisons off-line, looking at comparison plots of Nu vs Re at constant values of Pr.
 
  • #368
Hi Chet, just updating to say I'm working through some small model issues (no convergence in some cases). Will update you once these have been solved

EDIT: The error is actually that I have set up the code for the ICs/BCs incorrectly it seems. Working through this

EDIT2: At some point in this code I am setting an incorrect condition (IC or BC). I'm actually not fully sure on the ICs/BCs. Could I possibly post the code here with comments to show my thoughts?
 
Last edited:
  • #369
Hi Chet, bug found! The model itself is fine now. The last remaining issue seems to be with d(rho)/dH.

So, you mentioned using d(rho)/dT and dH/dT to get d(rho)/dH. If you see post #343, the library I’m using provides both of these derivatives, however, it specifies that the there must be some property that remains constant when the derivative is taken (Gibbs energy, internal energy, helmholtz energy,etc). I randomly picked constant enthalpy for both derivatives, however, the results vary widely depending on what property is constant so it is actually important that the derivative picked is the correct one.

With reference to post #343, what derivative should be used? i.e. what property (or properties) remain constant through these derivatives?
 
  • #370
casualguitar said:
Hi Chet, bug found! The model itself is fine now. The last remaining issue seems to be with d(rho)/dH.

So, you mentioned using d(rho)/dT and dH/dT to get d(rho)/dH. If you see post #343, the library I’m using provides both of these derivatives, however, it specifies that the there must be some property that remains constant when the derivative is taken (Gibbs energy, internal energy, helmholtz energy,etc). I randomly picked constant enthalpy for both derivatives, however, the results vary widely depending on what property is constant so it is actually important that the derivative picked is the correct one.

With reference to post #343, what derivative should be used? i.e. what property (or properties) remain constant through these derivatives?
drho/dH is at constant pressure, and dH/dt is at constant tank number.
 
  • #371
Chestermiller said:
drho/dH is at constant pressure, and dH/dt is at constant tank number.
Perfect I had switched to that in the meantime

Ok so it looks like next is to implement the U value model, which as you say looks like it will be a lumped parameter model. I'll use the correlation I found in that 70s paper unless your reference below has something more suitable
Chestermiller said:
Also see section 14.5 Heat transfer coefficients for Forced Convection Through Packed beds, Transport Phenomena, Bird et al.
And lastly yes:
Chestermiller said:
looking at comparison plots of Nu vs Re at constant values of Pr.
These plots should be fine to make

Will be working on this this evening
 
  • #372
casualguitar said:
Perfect I had switched to that in the meantime

Ok so it looks like next is to implement the U value model, which as you say looks like it will be a lumped parameter model. I'll use the correlation I found in that 70s paper unless your reference below has something more suitable

And lastly yes:

These plots should be fine to make

Will be working on this this evening
Hi Chet, back working on this model this evening. I will be working on the Nu vs Re plots (the U correlation) first thing tomorrow. Will update here with results.

I was curious - now that we seem to be out of the woods on this model, do you think there is value in taking an existing model and recreating it?

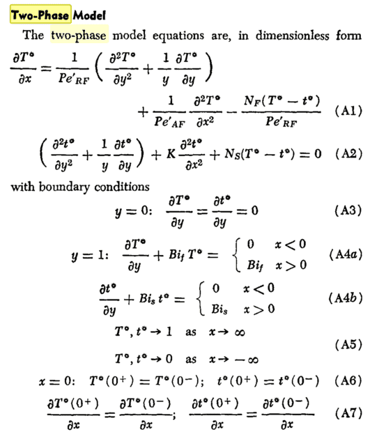
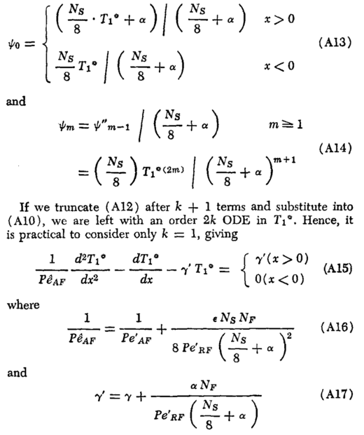
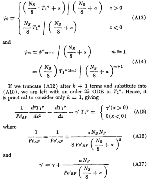
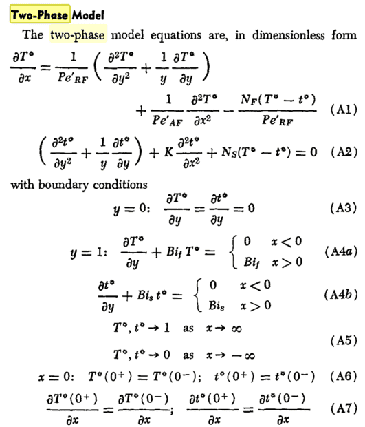
For example, the paper that provided the lumped heat transfer coefficient correlation seems to provide a two phase model also. I'll link the paper below, however these are the model equations:

Screenshot 2022-02-14 at 23.14.51.png


Screenshot 2022-02-14 at 23.15.21.png

Screenshot 2022-02-14 at 23.15.52.png

Screenshot 2022-02-14 at 23.16.25.png

Screenshot 2022-02-14 at 23.16.52.png

Screenshot 2022-02-14 at 23.17.23.png
Link to paper: https://aiche.onlinelibrary.wiley.com/doi/abs/10.1002/aic.690250413

My question is just do you think there is value in either:
1) comparing this model with the model you developed in this post
2) replacing our model with this one
 
  • #373
Hi Chet, plot of T vs U using the above reference. Looks like U will vary from 9970+/-30 across our range of temperatures (I thought this seemed high so I checked it versus some known values and it looks ok) :
Screenshot 2022-02-15 at 12.36.18.png


In addition, here is a plot of Re vs Nu for some constant values of Pr. I checked the range of Pr values we got for the above plot, and just picked 5 evenly split across the range of Pr values. Here it is:
Screenshot 2022-02-15 at 12.44.45.png


If the above looks ok to you I'll include this U functionality in the main model!
 

Attachments

  • Screenshot 2022-02-15 at 12.35.55.png
    Screenshot 2022-02-15 at 12.35.55.png
    18.1 KB · Views: 140
  • Screenshot 2022-02-15 at 11.44.42.png
    Screenshot 2022-02-15 at 11.44.42.png
    9.4 KB · Views: 158
Last edited:
  • #374
casualguitar said:
Hi Chet, back working on this model this evening. I will be working on the Nu vs Re plots (the U correlation) first thing tomorrow. Will update here with results.

I was curious - now that we seem to be out of the woods on this model, do you think there is value in taking an existing model and recreating it?

For example, the paper that provided the lumped heat transfer coefficient correlation seems to provide a two phase model also. I'll link the paper below, however these are the model equations:

View attachment 297110

View attachment 297111
View attachment 297112
View attachment 297113
View attachment 297114
View attachment 297115Link to paper: https://aiche.onlinelibrary.wiley.com/doi/abs/10.1002/aic.690250413

My question is just do you think there is value in either:
1) comparing this model with the model you developed in this post
2) replacing our model with this one
For what it's worth, in my judgment, there is no value in doing either of these things. My feeling is that the model you have in hand will be an excellent tool for what you want to do. Your model contains many clever innovations that have never been used before.

Based on my many successful years of modeling experience in industry, I have rarely done things the exact same way that others have done them. The saying I have coined is "If you always do things the same way as everybody else, then you're the same as everybody else."
 
  • Like
Likes   Reactions: PhDeezNutz
  • #375
casualguitar said:
Hi Chet, plot of T vs U using the above reference. Looks like U will vary from 9970+/-30 across our range of temperatures (I thought this seemed high so I checked it versus some known values and it looks ok) :
View attachment 297153
These are very large values of U. Are you sure of this. why is there a temperature dependence.

casualguitar said:
In addition, here is a plot of Re vs Nu for some constant values of Pr. I checked the range of Pr values we got for the above plot, and just picked 5 evenly split across the range of Pr values. Here it is: View attachment 297154

If the above looks ok to you I'll include this U functionality in the main model!
Is this from the Bird et al correlation? How are Re and Nu defined in this? Why are the Pr numbers so low? Did you also include a heat transfer resistance for inside the packing, like that other article I referred you to? The BSL correlation is only for the gas phase.

Please show the equations you used for this, and the comparison of the various correlations available in the literature.

You have provided me with inadequate information to arrive at a confident assessment of this.

Chet
 
  • #376
Chestermiller said:
For what it's worth, in my judgment, there is no value in doing either of these things. My feeling is that the model you have in hand will be an excellent tool for what you want to do. Your model contains many clever innovations that have never been used before.
Got it, and I agree. I would like to do a full model walkthrough at some point to check if I have missed any of your innovations (would be a pity if I missed any),like using l/2 to produce an upwind scheme etc. Also at some point this Spring I'll be working with a postdoc to tune this model to experimental data (and publish the results). I would like to have your name as a contributor on the paper (if this is ok with you)
Chestermiller said:
Based on my many successful years of modeling experience in industry, I have rarely done things the exact same way that others have done them. The saying I have coined is "If you always do things the same way as everybody else, then you're the same as everybody else."
Well it takes a certain level of knowledge/ability (and cojones!) to go out on your own. One day I hope to get to this kind of level.
Chestermiller said:
These are very large values of U. Are you sure of this. why is there a temperature dependence.
I will check these. The temperature dependence comes from the temperature dependent parameters in the Pr and Re equations (shown below)
Chestermiller said:
Is this from the Bird et al correlation? How are Re and Nu defined in this? Why are the Pr numbers so low? Did you also include a heat transfer resistance for inside the packing, like that other article I referred you to? The BSL correlation is only for the gas phase.

Please show the equations you used for this, and the comparison of the various correlations available in the literature.
No its not from Bird et al, its from Dixon et al: https://aiche.onlinelibrary.wiley.com/doi/abs/10.1002/aic.690250413

The heat transfer coefficient model from this reference is this:

Screenshot 2022-02-16 at 12.03.11.png


The Reynolds and Prandtl numbers are defined as:
Screenshot 2022-02-16 at 12.04.18.png

Screenshot 2022-02-16 at 12.04.38.png

Where k is the fluid thermal conductivity and G is the superficial mass flow rate. I checked that I was using the right units for these.

So the temperature dependence comes from the temperature dependent parameters (heat capacity, thermal conductivity of the fluid, viscosity of the fluid). Having these parameters as non-constant only seems to affect U by <0.5% anyway

So I will check the U and Pr to see if I've made any errors. Also to your question about having internal packing heat transfer resistance, I haven't thought about this. It doesn't seem to mention it in this reference, however it looks like this is the second term in equation 29?

Thanks and I'll get to checking the U/Pr calculations
 
  • #377
What is the void fraction in your packed bed?
 
  • #378
In terms of the Nusselt number and Reynolds number definitions in the BSL correlation, the Dixon et al correlation reads $$\frac{Nu}{Pr^{1/3}}=\frac{2.55}{\epsilon(1-\epsilon)^{1/3}\psi^{1/3}}Re^{2/3}\tag{1}$$where ##\psi## is a shape factor very close to 1.0. The maximum value of the term involving ##\epsilon## in this equation is 0.47, which corresponds to a minimum value of ##Nu/Pr^{1/3}## of: $$\frac{Nu}{Pr^{1/3}}=\frac{5.4}{\psi^{1/3}}Re^{2/3}\tag{2}$$This compares with the BSL correlation of $$\frac{Nu}{Pr^{1/3}}=2.19Re^{1/3}+0.78Re^{0.619}\tag{3}$$I'm going to prepare a log-log plot of these equations to see how they compare for a typical range of Re for packed beds running from 1 to 10000.
 
Last edited:
  • #379
1645114890165.png

The blue curve is Dixon et al correlation with ##\epsilon=0.75## (minimum curve over all ##\epsilon## values) and ##\psi=1.0 (spheres)##. The red curve is BSL correlation. These are based on BSL definitions of Re and Nu.

The Dixon correlation is 1.8X higher at the lower Re=1 and about 9X higher at Re = 10000. I recommend the BSL correlation which is much more modern, and based on much more data.
 
  • #380
Chestermiller said:
This compares with the BSL correlation of $$\frac{Nu}{Pr^{1/3}}=2.19Re^{2/3}+0.78Re^{0.619}\tag{3}$$
Would the first term be ##2.19Re^{1/3}##? As we will have ##Re * Re^{-2/3}##

Chestermiller said:
The Dixon correlation is 1.8X higher at the lower Re=1 and about 9X higher at Re = 10000. I recommend the BSL correlation which is much more modern, and based on much more data.
So to use the BSL correlation, does this mean we would using the Nu/Re definitions in the BSL correlation to predict ##h_{fs}## from eq.30 (post #376), and then continuing to use eq.29 to predict h? If so I can code this up now

IMG_1464.JPG
 
Last edited:
  • #381
casualguitar said:
Would the first term be ##2.19Re^{1/3}##? As we will have ##Re * Re^{-2/3}##
Yes, typo. Corrected.
casualguitar said:
So to use the BSL correlation, does this mean we would using the Nu/Re definitions in the BSL correlation to predict ##h_{fs}## from eq.30 (post #376), and then continuing to use eq.29 to predict h? If so I can code this up now

View attachment 297228
Yes. But the version I gave is better because it gives Nu directly
 
  • #382
Chestermiller said:
Yes, typo. Corrected.

Yes. But the version I gave is better because it gives Nu directly
One point of confusion - does the Dixon version not give Nu directly also via equation 30?
 
  • #383
casualguitar said:
One point of confusion - does the Dixon version not give Nu directly also via equation 30?
They use different definitions of Re and Nu than BSL
 
  • #384
Chestermiller said:
They use different definitions of Re and Nu than BSL
Ah got it, I'll replace the Dixon version with yours/the BSL one

Looking at how you set up your plots, you chose a range of Re numbers. To set up my plots above I actually chose a range of temperatures. I suppose choosing a range of Re values, to get a range of Nu values (at a few constant values of Pr), then subbing into eq.29 is better?

This would seem to mean that I would have to choose a single temperature/pressure value, and use the values of cp, mu, etc at these T/P values, which would assume that U is not temperature dependent. Is that correct?

I suppose I could choose 5 values of temperature (across the 80-300K range), and calculate the Pr number at each value of T. Then use these Pr values to create 5 graphs of Re vs Nu using your algorithm above? Is that reasonable?
 
  • #385
casualguitar said:
Ah got it, I'll replace the Dixon version with yours/the BSL one

Looking at how you set up your plots, you chose a range of Re numbers. To set up my plots above I actually chose a range of temperatures. I suppose choosing a range of Re values, to get a range of Nu values (at a few constant values of Pr), then subbing into eq.29 is better?
The objective of my plot was to compare the two correlations on a common basis. I don't care about anything else.

Eqn. 29 is for use inside the bed/tank model. There is a different U value for each tank in the model. The U value for each tank should be calculated within the bed/tank model. Given P, T, and ##G=\dot{m}/A## for a given tank, you calculate Pr and Re for the tank, then calculate U for that tank. This value of U also varies with time. Use the value of U at the beginning of the time step (end of the previous time step.)
 
  • #386
Chestermiller said:
The objective of my plot was to compare the two correlations on a common basis. I don't care about anything else.

Eqn. 29 is for use inside the bed/tank model. There is a different U value for each tank in the model. The U value for each tank should be calculated within the bed/tank model. Given P, T, and ##G=\dot{m}/A## for a given tank, you calculate Pr and Re for the tank, then calculate U for that tank. This value of U also varies with time. Use the value of U at the beginning of the time step (end of the previous time step.)
I fully follow this now and can model it. I can get a sense of how U will vary with temperature (at constant pressure) by doing something similar to what I did above except with the new correlations. U doesn't seem to vary all that much with temperature but I will redo these to be sure.

What is the purpose of the Re vs Nu plots? What information can you get from these? I suppose it tells you how convection dominated the heat transfer is, for a given flowrate? Meaning that for our model we would want Nu to be as high as possible, to avoid axial conduction along the bed?

I'll get on scripting U (outside the main model) to see what the approximate range of U values is
 
  • #387
casualguitar said:
I fully follow this now and can model it. I can get a sense of how U will vary with temperature (at constant pressure) by doing something similar to what I did above except with the new correlations. U doesn't seem to vary all that much with temperature but I will redo these to be sure.
It will vary very much with ##\dot{m}_{j-1}##
casualguitar said:
What is the purpose of the Re vs Nu plots? What information can you get from these? I suppose it tells you how convection dominated the heat transfer is, for a given flowrate? Meaning that for our model we would want Nu to be as high as possible, to avoid axial conduction along the bed?
My only purpose was to see the comparison between the two correlations.
casualguitar said:
I'll get on scripting U (outside the main model) to see what the approximate range of U values is
 
  • #388
Chestermiller said:
It will vary very much with mj-1
Ok yes I was thinking about that. Given the range of mdot and T values it seems it might be useful to calculate U at some specific points like (max mdot, max T), or (min mdot, min T) etc to see how much it varies

There was a storm here today so we had no power. Back now so I'll get to implementing this
 
  • #389
casualguitar said:
Ok yes I was thinking about that. Given the range of mdot and T values it seems it might be useful to calculate U at some specific points like (max mdot, max T), or (min mdot, min T) etc to see how much it varies

There was a storm here today so we had no power. Back now so I'll get to implementing this
Hi Chet, have I got both the intended computational flow, and correlations to be used, correct here? The only change from he previous version was to include the new Nu correlation from BSL rather than from Dixon et al.

IMG_1473.JPG


You mentioned your version gives Nu directly, and the previous version I did does not do that. I don't see where that comes into play here. Is this correct?
 
  • #390
If the above is correct, then for the approximate range of flow rates the heat transfer coefficient varies from approximately ##50## to ##200\frac{W}{m2.K}##. I'm just providing that range to give an idea of what range of values U will take.

The U calculation is straightforward to implement in the main script. I'll make a function that calculates U(T, P, m_dot) tomorrow morning, and will add this to the main model.

After this, there are remaining items such as using a better approximation of pressure drop (using relative permeability). Do you see any critical remaining items here, or is this model mostly ready to be fitted to experimental data?

If it is largely ready, I would very much like to add some other points of discussion to this discussion regarding adding CO2-air mixtures to this model (the idea being to freeze out the CO2 during air liquefaction). I have already checked a number of mixture parameters (enthalpy, density, etc) against literature data for CO2-air mixtures.
 

Similar threads

  • · Replies 427 ·
15
Replies
427
Views
26K
  • · Replies 18 ·
Replies
18
Views
2K
Replies
1
Views
1K
  • · Replies 2 ·
Replies
2
Views
2K
  • · Replies 48 ·
2
Replies
48
Views
5K
  • · Replies 20 ·
Replies
20
Views
3K
  • · Replies 35 ·
2
Replies
35
Views
4K
  • · Replies 8 ·
Replies
8
Views
9K
  • · Replies 2 ·
Replies
2
Views
2K
  • · Replies 67 ·
3
Replies
67
Views
7K