Modelling of two phase flow in packed bed using conservation equations

Click For Summary

Discussion Overview

The discussion revolves around the modeling of two-phase flow in a packed bed using conservation equations, specifically focusing on the derivation of mass, momentum, and energy equations that account for phase changes in the fluid. Participants explore the complexities involved in simulating this system, including the need to track temperature and phase fronts over time.

Discussion Character

  • Exploratory
  • Technical explanation
  • Conceptual clarification
  • Debate/contested
  • Mathematical reasoning

Main Points Raised

  • One participant seeks to derive mass, momentum, and energy equations for two-phase flow, noting that existing equations for single-phase flow are insufficient.
  • Another participant suggests starting with simpler models to understand the system before increasing complexity, emphasizing the importance of preliminary calculations.
  • Participants discuss the need to consider system parameters such as diameter, packing type, void fraction, and flow direction in the modeling process.
  • There is a proposal to model isothermal behavior under different conditions (all liquid vs. all gas) to understand residence time and pressure variations.
  • One participant acknowledges the need to account for pressure drop and residence time in their models, questioning how to calculate these factors effectively.
  • Discussion includes the concept of lumped parameter models, with questions about how temperature and other properties behave under high axial dispersion conditions.
  • Participants express intentions to formulate simplified models and share their approaches to the conservation equations.

Areas of Agreement / Disagreement

Participants generally agree on the need to start with simpler models before tackling the complexities of two-phase flow. However, there are multiple competing views on the best approach to modeling and the specific parameters to consider, leaving the discussion unresolved.

Contextual Notes

Participants mention various assumptions and conditions, such as the static nature of the packed bed and the potential significance of pressure drop, which may affect the modeling outcomes. The discussion also highlights the need for further exploration of lumped parameter models and their implications.

Who May Find This Useful

This discussion may be useful for researchers and practitioners interested in fluid dynamics, thermal management in packed beds, and the modeling of phase changes in porous media.

  • #331
Chestermiller said:
I looked at the reference, but I don't exactly see how they do this. I assume they have an appropriate data base for pure o2 and n2, and somehow mixture parameters. I guess I'll leave it up to you to figure how to work with this software to get the needed thermodynamic functionalities.
Exactly yes there is appropriate data taken from a number of sources (DIPPR, Perrys, etc) to allow for pure and mixture parameter calculations.

I can work with the software absolutely (I have used it for the dew/bubble and Ergun calculations).

I could start with say some plots of air heat capacity and density for our range of temperatures, for a few pressures? To get an idea of how we would expect the model output to change by adding these two in. I'll add them in separately then
 
Engineering news on Phys.org
  • #332
casualguitar said:
Exactly yes there is appropriate data taken from a number of sources (DIPPR, Perrys, etc) to allow for pure and mixture parameter calculations.

I can work with the software absolutely (I have used it for the dew/bubble and Ergun calculations).

I could start with say some plots of air heat capacity and density for our range of temperatures, for a few pressures? To get an idea of how we would expect the model output to change by adding these two in. I'll add them in separately then
What we really need is temperature and density (or specific volume) as functions of enthalpy and pressure for an overall mixture of 79% n2 and 21% o2 (including the two phase region). Starting from enthalpy and density as functions of temperature and pressure for such an overall mixture.
 
  • #333
Chestermiller said:
What we really need is temperature and density (or specific volume) as functions of enthalpy and pressure for an overall mixture of 79% n2 and 21% o2 (including the two phase region). Starting from enthalpy and density as functions of temperature and pressure for such an overall mixture.
To confirm, we are looking to get to this?
$$T(H,P)$$ $$\rho(T,P)$$

And we're assuming we will have this available to start:
$$H(T,P)$$ $$\rho(T,P)$$

So we would need to 'invert' these functions to get to the objective functions?

I can check to see if the goal functions already exist just in case
 
Last edited:
  • Like
Likes   Reactions: Chestermiller
  • #334
Chestermiller said:
What we really need is temperature and density (or specific volume) as functions of enthalpy and pressure for an overall mixture of 79% n2 and 21% o2 (including the two phase region). Starting from enthalpy and density as functions of temperature and pressure for such an overall mixture.
Just as a side note - here are the plots mentioned earlier, 79%/21% air for a pressure of 30 bar:

Density:
Screenshot 2022-01-12 at 22.44.55.png

Heat capacity:
Screenshot 2022-01-12 at 22.45.44.png

Thermal conductivity (included this in case we eventually split U into components):
Screenshot 2022-01-12 at 22.46.55.png
 
Last edited:
  • #335
Chestermiller said:
What we really need is temperature and density (or specific volume) as functions of enthalpy and pressure for an overall mixture of 79% n2 and 21% o2 (including the two phase region). Starting from enthalpy and density as functions of temperature and pressure for such an overall mixture.
Ahh ok it just clicked with me now why we need those specifically. To replace the temperature and mass functions we've got currently implemented. Got it
 
  • Like
Likes   Reactions: Chestermiller
  • #336
casualguitar said:
Ahh ok it just clicked with me now why we need those specifically. To replace the temperature and mass functions we've got currently implemented. Got it
Hi Chet, away for 1 week on annual leave. Will update here once I'm back
 
  • Like
Likes   Reactions: Chestermiller
  • #337
Chestermiller said:
What we really need is temperature and density (or specific volume) as functions of enthalpy and pressure for an overall mixture of 79% n2 and 21% o2 (including the two phase region). Starting from enthalpy and density as functions of temperature and pressure for such an overall mixture.
Hi Chet, returned to work this morning! Looking at the last sentence, you seem to suggest that we can get to H,P formulation from T,P formulation? Is this correct?

I have yet to confirm if H,P formulation is available in the thermo library. Looking into this today
 
  • #338
Chestermiller said:
What we really need is temperature and density (or specific volume) as functions of enthalpy and pressure for an overall mixture of 79% n2 and 21% o2 (including the two phase region). Starting from enthalpy and density as functions of temperature and pressure for such an overall mixture.
Hi Chet, I don't think there are direct PH dependent properties available in thermo

However, if we know the pressure and enthalpy of the system, we could do a PH flash and that will solve the equations to figure out the temperature. We can then query for all the required properties at those specific temperature and pressure values.

PH flash functionality is definitely available in thermo

Is this suitable for us?
 
  • #339
I guess you can do that. Try it can see if it works.
 
  • Like
Likes   Reactions: casualguitar
  • #340
Chestermiller said:
I guess you can do that. Try it can see if it works.
Hi Chet, so the temp(H) and mass(H) functions have now been replaced by a flash function that returns the temperature and density at a given pressure and enthalpy (density is then multiplied by volume to get mass).

One point of confusion I have on this is in relation to the heat of vaporisation. Previously you showed me that we could use different correlations for the temperature/mass based on the enthalpy value i.e. if the enthalpy was lower than the heat of vaporisation then we would use the liquid correlation etc. This naturally allowed us to include the heat of vaporisation for the mixed phase and gas phase.

Now that I'm using a PH flash to calculate the temperature and density, I'm wondering if we have taken the heat of vaporisation into account, and if so, how have we done this?

I guess we have sort of 'rounded' this problem by using the flash calculation however I'm not sure. Does PH flash 'account' for the heat of vaporisation?

Some notes: pressure is assumed constant, liquid and gas heat capacity are assumed constant, U correlation has not been added. These are all minor changes that I will add this evening and tomorrow
 
  • #341
casualguitar said:
Hi Chet, so the temp(H) and mass(H) functions have now been replaced by a flash function that returns the temperature and density at a given pressure and enthalpy (density is then multiplied by volume to get mass).

One point of confusion I have on this is in relation to the heat of vaporisation. Previously you showed me that we could use different correlations for the temperature/mass based on the enthalpy value i.e. if the enthalpy was lower than the heat of vaporisation then we would use the liquid correlation etc. This naturally allowed us to include the heat of vaporisation for the mixed phase and gas phase.

Now that I'm using a PH flash to calculate the temperature and density, I'm wondering if we have taken the heat of vaporisation into account, and if so, how have we done this?

I guess we have sort of 'rounded' this problem by using the flash calculation however I'm not sure. Does PH flash 'account' for the heat of vaporisation?

Some notes: pressure is assumed constant, liquid and gas heat capacity are assumed constant, U correlation has not been added. These are all minor changes that I will add this evening and tomorrow
Pressure is not constant in a flash calculation, right? And, in a flash calculation, heat of vaporization is implicitly included.

Now that you are adopting this approach, you should do the calculations outside the bed model, and parameterize the relationships between temperature and density vs enthalpy and pressure using analytic fits to the results of the flash calculations. That seems like the easiest thing to do. Then you won't have to be doing flash calculations or VLE calculations within your main model.
 
  • #342
Chestermiller said:
Pressure is not constant in a flash calculation, right? And, in a flash calculation, heat of vaporization is implicitly included.
Yes you're right I think my terminology is poor. I assume when you say flash you mean going from P1 to P2 where P1>P2. What I meant was using the known P and H values to calculate T, density, etc. In the thermo library this is called 'flash', however yes I agree its not really 'flashing' in the real sense. Are we on the same page there? And what is the name for the calculation I'm describing, if not flash?

Chestermiller said:
Now that you are adopting this approach, you should do the calculations outside the bed model, and parameterize the relationships between temperature and density vs enthalpy and pressure using analytic fits to the results of the flash calculations. That seems like the easiest thing to do. Then you won't have to be doing flash calculations or VLE calculations within your main model.
Ah I see. For reference, here is the line of code that I use to calculate the temperature and mass holdup of the air mixture given the enthalpy and pressure:
Screenshot 2022-01-27 at 11.40.22.png

Screenshot 2022-01-27 at 11.52.07.png


The setup of the air mixture is a bit more complex. However as you can see its very simple to use the flasher itself to calculate H and P dependent properties. We mentioned earlier getting analytic fits for T(H,P) and density(H,P). Unless I'm misunderstanding, the flash calculation gives us this fit indirectly (and easily) i.e. we in effect have T(H,P) and density(H,P) through the flash calculation. Do you agree with that?

If the above is true, then it seems like its slightly easier to use the above code, rather than extract the analytic relationships T(H,P) and density(H,P)?

I also think it would be useful to post the 'flow' of the code with the added flash calculation now. I'll do this today
 

Attachments

  • Screenshot 2022-01-27 at 11.40.02.png
    Screenshot 2022-01-27 at 11.40.02.png
    2.7 KB · Views: 116
  • #343
If the above is ok, then I could also remove the ##\frac{d\rho}{dH}## function with an analytic alternative?

So the thermo library does provide property derivatives for mixtures. However, it does not provide ##\frac{d\rho}{dH}## or ##\frac{dH}{d\rho}##. One idea I had was to use the chain rule i.e. to multiply two other property derivatives together to get to the one we want, ##\frac{d\rho}{dH}##.

For reference, these are the available density derivatives:

Screenshot 2022-01-27 at 12.36.33.png


And these are the available enthalpy derivatives:
Screenshot 2022-01-27 at 12.37.44.png


So maybe we could choose two that multiply together to give the objective derivative. To use one of these derivatives, we would need to know what is 'constant' while density and enthalpy change. Do we have any constant properties in our system that are mentioned above? Can we assume that pressure is effectively constant, given the change across the system is small?

For later reference, the list of available derivatives is here: https://thermo.readthedocs.io/thermo.stream.html?highlight=stream#thermo.stream.Stream
 
  • #344
casualguitar said:
Yes you're right I think my terminology is poor. I assume when you say flash you mean going from P1 to P2 where P1>P2. What I meant was using the known P and H values to calculate T, density, etc. In the thermo library this is called 'flash', however yes I agree its not really 'flashing' in the real sense. Are we on the same page there? And what is the name for the calculation I'm describing, if not flash?
I think you need to ascertain exactly what this calculation does. Is it a VLE calculation or an actual flash calculation.
casualguitar said:
Ah I see. For reference, here is the line of code that I use to calculate the temperature and mass holdup of the air mixture given the enthalpy and pressure:
View attachment 296088
View attachment 296089

The setup of the air mixture is a bit more complex. However as you can see its very simple to use the flasher itself to calculate H and P dependent properties. We mentioned earlier getting analytic fits for T(H,P) and density(H,P). Unless I'm misunderstanding, the flash calculation gives us this fit indirectly (and easily) i.e. we in effect have T(H,P) and density(H,P) through the flash calculation. Do you agree with that?
OK, provided we are convinced that it is just a VLE calculation, where you specify the T and P and it calculates everything else, including split. Still, there is an iteration that is going to be involved in specifying H and P and extracting T and density. After all, in the model, you dependent variable is H, not T.
 
  • #345
Chestermiller said:
I think you need to ascertain exactly what this calculation does. Is it a VLE calculation or an actual flash calculation.
A VLE calculation, where P and H are known, and are used to find T and density yes
Chestermiller said:
OK, provided we are convinced that it is just a VLE calculation, where you specify the T and P and it calculates everything else, including split. Still, there is an iteration that is going to be involved in specifying H and P and extracting T and density. After all, in the model, you dependent variable is H, not T.
Exactly, H and P are specified, and T and density are extracted (after some iteration etc). However what I'm saying is that the thermo library takes care of this iteration for us. So all we have to do is supply the library with P and H, and it will do the iteration required to solve for T and density. This is useful because it means there are no large blocks of iteration code to be seen in the main script

So what I can do is replace our previous temperature function here:
Screenshot 2022-01-27 at 13.46.22.png


With this new function:
1643291240383.png


The advantage of the second one is that it is analytic, so that single line allows us to take our known H and P values and convert them to T values

The same thing can be done for the mass holdup function, as the VLE calculation done in the thermo library also allows us to get density. I can just multiply by volume to give mass holdup

The final function to be replaced by an analytic one is the ## \frac{d\rho}{dH}## one. As shown in the earlier message above, are there any properties we can assume as constant (while density and enthalpy change)? We can multiply these derivatives together (chain rule) to get to the objective derivative ## \frac{d\rho}{dH}## I think

EDIT: The T(H,P) and density(H,P) functionality is now in place so we have analytic values for T and density at each H and P value. I think replacing the ## \frac{d\rho}{dH}## derivative is a natural next step as it is the only remaining non analytic function
 
Last edited:
  • #346
casualguitar said:
A VLE calculation, where P and H are known, and are used to find T and density yes

Exactly, H and P are specified, and T and density are extracted (after some iteration etc). However what I'm saying is that the thermo library takes care of this iteration for us. So all we have to do is supply the library with P and H, and it will do the iteration required to solve for T and density. This is useful because it means there are no large blocks of iteration code to be seen in the main script

So what I can do is replace our previous temperature function here:
View attachment 296093

With this new function:
View attachment 296094

The advantage of the second one is that it is analytic, so that single line allows us to take our known H and P values and convert them to T values

The same thing can be done for the mass holdup function, as the VLE calculation done in the thermo library also allows us to get density. I can just multiply by volume to give mass holdup

The final function to be replaced by an analytic one is the ## \frac{d\rho}{dH}## one. As shown in the earlier message above, are there any properties we can assume as constant (while density and enthalpy change)? We can multiply these derivatives together (chain rule) to get to the objective derivative ## \frac{d\rho}{dH}## I think

EDIT: The T(H,P) and density(H,P) functionality is now in place so we have analytic values for T and density at each H and P value. I think replacing the ## \frac{d\rho}{dH}## derivative is a natural next step as it is the only remaining non analytic function
Maybe you can supply some graphs of T(H,P) and rho(H,P) to examine?
 
  • #347
Chestermiller said:
Maybe you can supply some graphs of T(H,P) and rho(H,P) to examine?
Yep can do
 
  • #348
Chestermiller said:
Maybe you can supply some graphs of T(H,P) and rho(H,P) to examine?
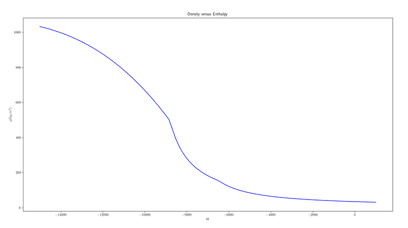
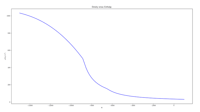
Hi Chet, T(H,P) and rho(H,P) plots as mentioned (at 30 bar for a range of enthalpies):
rhoH.png

TH.png


We can clearly see the phase change zone in the temperature plot (constant temperature).

These plots were produced assuming constant pressure of 30bar. They were also produced with the d(rho)/dH function you derived. As mentioned, we can replace this derivative with an analytic one, as they are available in the thermo library, however its not clear to me which derivatives to chain rule to get d(rho)/dH

What info were you hoping to examine in these plots?

Thanks
 

Attachments

  • 1643400847530.png
    1643400847530.png
    2.1 KB · Views: 128
  • 1643400873811.png
    1643400873811.png
    2 KB · Views: 130
Last edited:
  • #349
casualguitar said:
Hi Chet, T(H,P) and rho(H,P) plots as mentioned (at 30 bar for a range of enthalpies):
View attachment 296198
View attachment 296199

We can clearly see the phase change zone in the temperature plot (constant temperature).

These plots were produced assuming constant pressure of 30bar. They were also produced with the d(rho)/dH function you derived. As mentioned, we can replace this derivative with an analytic one, as they are available in the thermo library, however its not clear to me which derivatives to chain rule to get d(rho)/dH

What info were you hoping to examine in these plots?

Thanks
The temperature should not be constant in the 2 phase region. It should be varying a little with enthalpy. Just for clarification, you are assuming in these calculations an overall mix of 80 mole % N2 and 20 mole % oxygen, right? Also, is it possible to provide the vapor-liquid split (molar or mass) vs enthalpy? Other pressures? The enthalpies presented in the plots are per mole of mixture or per kg of mixture? The densities are molar densities or mass densities?
 
  • #350
Chestermiller said:
The temperature should not be constant in the 2 phase region. It should be varying a little with enthalpy.
Apologies yes it does vary. Zoomed in plot of enthalpy versus temperature for the two phase region, showing the temperature increase of approx 2-3C :
Screenshot 2022-01-29 at 17.41.07.png

Chestermiller said:
Just for clarification, you are assuming in these calculations an overall mix of 80 mole % N2 and 20 mole % oxygen, right?
Effectively. The exact mole% breakdown is: N2 = 78.08, O2 = 20.95, Ar = 0.97%
The Argon boiling point falls between that of N2 and O2 so our assumption of a single boiling point rather than an envelope is valid still
Chestermiller said:
Also, is it possible to provide the vapor-liquid split (molar or mass) vs enthalpy?
Vapour-liquid split (molar) vs enthalpy (J/mol)
Screenshot 2022-01-29 at 18.15.55.png

Chestermiller said:
The enthalpies presented in the plots are per mole of mixture or per kg of mixture? The densities are molar densities or mass densities?
Enthalpy units: J/mol
Density units: kg/m3

Yes the units are not of the same basis, however I just picked kg/m3 units for the density plot as its easiest to visualise. Are there preferred units? I can provide either easily

Note also these plots are not packed bed related model output plots just plots of various properties of air as a function of enthalpy and pressure

If there is any other enthalpy/pressure dependent info required at this point I can provide it
 
Last edited:
  • #351
Just as a side note to the above, this is what I see as potential 'next steps' to follow in regards to model development:
  1. Heat transfer inside the energy storage particles (assuming possible temperature profile inside spherical particles)
  2. Splitting of U value into conduction/convection terms
  3. Specification of bed flow direction (horizontal or vertical)
  4. Pressure gradient (Ergun)
  5. Modelling of radial heat transfer (cant be measured/verified in practice unfortunately) but still might be interesting
 
  • #352
casualguitar said:
Apologies yes it does vary. Zoomed in plot of enthalpy versus temperature for the two phase region, showing the temperature increase of approx 2-3C :
View attachment 296250

Effectively. The exact mole% breakdown is: N2 = 78.08, O2 = 20.95, Ar = 0.97%
The Argon boiling point falls between that of N2 and O2 so our assumption of a single boiling point rather than an envelope is valid still

Vapour-liquid split (molar) vs enthalpy (J/mol)
View attachment 296251

Enthalpy units: J/mol
Density units: kg/m3

Yes the units are not of the same basis, however I just picked kg/m3 units for the density plot as its easiest to visualise. Are there preferred units? I can provide either easily

Note also these plots are not packed bed related model output plots just plots of various properties of air as a function of enthalpy and pressure

If there is any other enthalpy/pressure dependent info required at this point I can provide it
OK. If you're happy, I'm happy.

For the d(rho)/dH, this comes from the d(rho)/dt term for a tank. Since rho is now a function of H and P, strictly speaking there should be contributions from d(rho)/dH and d(rho)/dP. However, I think that the latter is not going to contribute significantly, and can be neglected. Besides, we are not directly calculating dP/dt for each tank (although, I suppose it can be lagged one time step).
 
  • #353
casualguitar said:
Just as a side note to the above, this is what I see as potential 'next steps' to follow in regards to model development:
  1. Heat transfer inside the energy storage particles (assuming possible temperature profile inside spherical particles)
I don't think this will be worthwhile, and that the effect can be included in the overall U (which will be a calibration parameter anyway).
casualguitar said:
  1. Splitting of U value into conduction/convection terms
Same point here.
casualguitar said:
  1. Specification of bed flow direction (horizontal or vertical)
  2. Pressure gradient (Ergun)
  3. Modelling of radial heat transfer (cant be measured/verified in practice unfortunately) but still might be interesting
I guess you mean heat loss from the overall bed. If the bed is well insulated, this won't be too important, but can be included later if necessary.

What about looking at heat transfer coefficient correlations U for fluid flow packed beds?
 
  • #354
Chestermiller said:
For the d(rho)/dH, this comes from the d(rho)/dt term for a tank. Since rho is now a function of H and P, strictly speaking there should be contributions from d(rho)/dH and d(rho)/dP. However, I think that the latter is not going to contribute significantly, and can be neglected. Besides, we are not directly calculating dP/dt for each tank (although, I suppose it can be lagged one time step).
Great

So to get an analytic solution for d(rho)/dH, is it correct to say that you're suggesting using our existing d(rho)/dt, which is dm/dt divided by volume (?), and then using our existing dH/dt to get:
$$\frac{d\rho}{dH} = \frac{d\rho}{dt} * \frac{dt}{dH}$$

Or if not, then we have analytic solutions for a number of property derivatives (post #343) that might be useful?

Chestermiller said:
What about looking at heat transfer coefficient correlations U for fluid flow packed beds?
Sounds good. Referring to your post above, you mentioned U will be used as a tuning parameter once experimental data is generated. I guess if we use correlations for U for fluid flow packed beds, one of the correlation parameters will then be 'tuned' rather than U itself? (I think this will become clear anyway once I start looking). I have a few papers in mind. I'll start looking into this.

casualguitar said:
Modelling of radial heat transfer (cant be measured/verified in practice unfortunately) but still might be interesting
Lastly here what I meant was that the packed bed is a cylinder, so we could assume that there will be a temperature gradient in the radial direction also

Just as another side note - the ultimate goals here are to assess the performance of a packed bed to store thermal energy (using liquid air as a medium), to verify the model with experimental data and to publish the findings

I'll spend some time on the heat transfer coefficient correlations this evening

And again thanks for all your guidance on this. Its been of huge importance to me
 
  • #356
casualguitar said:
Great

So to get an analytic solution for d(rho)/dH, is it correct to say that you're suggesting using our existing d(rho)/dt, which is dm/dt divided by volume (?), and then using our existing dH/dt to get:
$$\frac{d\rho}{dH} = \frac{d\rho}{dt} * \frac{dt}{dH}$$

Or if not, then we have analytic solutions for a number of property derivatives (post #343) that might be useful?
No. In the mass balance equation, we had to provide a relationship for ##d\rho/dt##. This was done by expressing it as $$\frac{d\rho}{dh}\frac{dh}{dt}$$. ##d\rho/dh## comes exclusively from the thermodynamics.
casualguitar said:
Sounds good. Referring to your post above, you mentioned U will be used as a tuning parameter once experimental data is generated. I guess if we use correlations for U for fluid flow packed beds, one of the correlation parameters will then be 'tuned' rather than U itself? (I think this will become clear anyway once I start looking). I have a few papers in mind. I'll start looking into this.
You are trying to get a reasonable starting value for U based on literature correlations. Then you fine tune it for your system.
casualguitar said:
Lastly here what I meant was that the packed bed is a cylinder, so we could assume that there will be a temperature gradient in the radial direction also
If the bed is well insulated, this will approach zero.
 
  • #357
casualguitar said:
Side note - two phase (liquid/gas) packed bed papers seem to be very rare. I have found a useful pair of papers by the same authors though that model steam condensing in a packed bed:
https://link.springer.com/article/10.1023/A:1016271213503
https://link.springer.com/article/10.1007/s11242-004-5740-5

I'll be reading through these tomorrow and hopefully extracting useful heat transfer coefficient info
See also literature on 2 phase flow and immiscible flow in porous media. See for example Flow of Fluids Through Porous Materials by R. E. Collins.
 
  • #358
Chestermiller said:
You are trying to get a reasonable starting value for U based on literature correlations. Then you fine tune it for your system.
Got it
Chestermiller said:
If the bed is well insulated, this will approach zero.
Yes it looks to be exceedingly well insulated
Chestermiller said:
No. In the mass balance equation, we had to provide a relationship for dρ/dt. This was done by expressing it as dρdhdhdt. dρ/dh comes exclusively from the thermodynamics
Ok, so you're saying that ##\frac{d\rho}{dH}## comes from the thermodynamics. Does this mean we can use existing derivates to 'chain rule' to ##\frac{d\rho}{dH}##? Thermo library provides a number of these derivatives. Would any of the derivatives in post #343 be suitable here?
Chestermiller said:
See also literature on 2 phase flow and immiscible flow in porous media. See for example Flow of Fluids Through Porous Materials by R. E. Collins.
Ah I have read some material by R.E. Collins. It actually may have been sections of this text. I'll take a look at this today for info on heat transfer coefficient correlations
 
  • #359
casualguitar said:
Ok, so you're saying that ##\frac{d\rho}{dH}## comes from the thermodynamics. Does this mean we can use existing derivates to 'chain rule' to ##\frac{d\rho}{dH}##? Thermo library provides a number of these derivatives. Would any of the derivatives in post #343 be suitable here?
Just evaluate it as drho/dT divided by dH/dT at constant P and overall mixture.
 
  • #360
Chestermiller said:
Just evaluate it as drho/dT divided by dH/dT at constant P and overall mixture.
Hmm to confirm - drho/dT is found by (1/V)*dm/dt and we get dH/dt values from the energy balance. Then d(rho)/dH = d(rho)/dt * dt/dH

Two questions on that -
1) We will be calculating d(rho)/dt, an expression that depends on dm/dt while dm/dt itself depends on d(rho)/dt also. Do I need to calculate d(rho)/dH values at time j, from d(rho)/dt and dt/dH values at time j-1?
2) Leading on from that, at time t=0 we don't seem to have values for either of these. Can I Assume both derivates = 0 at t=0?

I can code this if the above is all true

Side note: I didn't find anything useful in the R.E. Collins text in relation to heat transfer coefficient correlations. That said, its fairly advanced in parts so maybe I missed it. I did find this text that gives correlations for both the thermal conductivity and the fluid-solid heat transfer coefficients: https://www.sciencedirect.com/science/article/pii/001793109090255S

I think that was actually a reason why other papers split up the U heat transfer coefficient, because there are correlations available for k and h

I'll put a shape on what that paper is saying in relation to heat transfer coefficients and see If its of any use

If it is, if possible I would like to talk with you about extracting conduction and convection terms out of U
 
Last edited:

Similar threads

  • · Replies 427 ·
15
Replies
427
Views
26K
  • · Replies 18 ·
Replies
18
Views
2K
Replies
1
Views
1K
  • · Replies 2 ·
Replies
2
Views
2K
  • · Replies 48 ·
2
Replies
48
Views
5K
  • · Replies 20 ·
Replies
20
Views
3K
  • · Replies 35 ·
2
Replies
35
Views
4K
  • · Replies 8 ·
Replies
8
Views
9K
  • · Replies 2 ·
Replies
2
Views
2K
  • · Replies 67 ·
3
Replies
67
Views
7K